分类

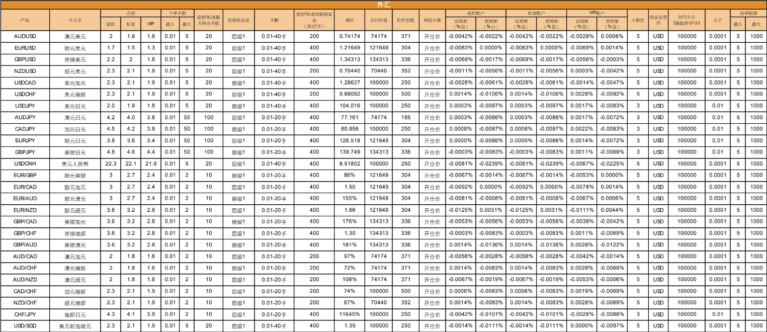
外汇


×